ИДЗ 8.3 – Вариант 20. Решения Рябушко А.П.

ИДЗ 8.3 – Вариант 20. Решения Рябушко А.П.

Раздел: Математика
Цена: 1.37 $
Товар: 20v-IDZ8.3.pdf(98.02 Кбайт)
Загружен: 08.07.2025 23:48:45
Количество продаж: 13
Количество возвратов: 0
Продавец: Massimo86
Продажа в кредит: Товар не продается в кредит
оплата через

Подробно о всех способах оплаты смотрите в разделе «Оплата и доставка».

Скидки: На данный товар скидка не предоставляется.
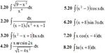
1. Найти неопределенные интегралы. (1-8)
8 примеров
Дополнительная информация:
Подробное решение. Оформлено в PDF-формате для удобства просмотра решений ИДЗ на смартфонах и ПК.
В MS Word (doc-формате) высылается дополнительно.
Отзывы покупателей (0):
Положительных отзывов0 Отрицательных отзывов0

Каталог